Probability is an important topic in JEE advanced
examination. In this exam, probability carries weightage of
7% of questions. With focused practice good marks can be
fetched from this topic
.
Q2.Statement 1: 20 persons are sitting in a row. Two of these persons are selected at random. The probability that two selected persons are not together is 0.7.
Statement 2: If A is an event, then P(not A)=1-P(A).
Statement 2: If A is an event, then P(not A)=1-P(A).
Q3. Let A and B be two independent events
Statement 1: If P(A)=0.4 and then P(A∪B̅)=0.9, then P(B) is 1/6
Statement 2: If Aand B are independent, then P(A∩B)=P(A)P(B)
Statement 1: If P(A)=0.4 and then P(A∪B̅)=0.9, then P(B) is 1/6
Statement 2: If Aand B are independent, then P(A∩B)=P(A)P(B)
Q4. Statement 1: If A,B,C be three mutually independent events, then A and B∪C are also independent events
Statement 2: Two events Aand B are independent if and only if P(A∩B)=P(A)P(B)
Q5.Statement 1: There are 4 addressed envelopes and 4 letters for each one of them. The probability that no letter is mailed in its correct envelopes is 3/8
Statement 2: The probability that all letters are not mailed in their correct envelope is 23/24
Statement 2: The probability that all letters are not mailed in their correct envelope is 23/24
Q6. Statement 1: For events A and B of sample space if
P(A/B)≥P(A), then P(B/A)≥P(B)
Statement 2: P(A/B)=P(A∩B)/P(B) (P(B)≠0)
Statement 2: P(A/B)=P(A∩B)/P(B) (P(B)≠0)
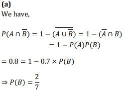
Q7. Let A and B be two independent events
Statement 1: If P(A)=0.3 and P(A∪B̅)=0.8, then P(B) is 2/7
Statement 2: P(E̅)=1-P(E), where E is any event
Statement 1: If P(A)=0.3 and P(A∪B̅)=0.8, then P(B) is 2/7
Statement 2: P(E̅)=1-P(E), where E is any event
Q8.Statement 1: If A and B are two events such that P(A)=1/2 and P(B)=2/3,then 1/6≤P(A∩B)≤1/2.
Statement 2: P(A∪B)≤max〖{P(A),P(B)}〗 and P(A∩B)≥min〖{P(A),P(B)}〗.
Statement 2: P(A∪B)≤max〖{P(A),P(B)}〗 and P(A∩B)≥min〖{P(A),P(B)}〗.
Q9.Let A and B be two event such that P(A∪B)≥3/4 and 1/8≤P(A∩B)≤3/8
Statement 1: P(A)+P(B)≥7/8
Statement 2: P(A)+P(B)≤11/8
Statement 1: P(A)+P(B)≥7/8
Statement 2: P(A)+P(B)≤11/8
Q10. Statement 1: The probability of drawing either an ace or a king from a pack of card in a single draw is 2/13
Statement 2: For two events A and B which are not mutually exclusive, P(A∪B)=P(A)+P(B)-P(A∩B)
Statement 2: For two events A and B which are not mutually exclusive, P(A∪B)=P(A)+P(B)-P(A∩B)



