JEE Advanced Physics Syllabus can be referred by the IIT aspirants to get a detailed list of all topics that are important in cracking the entrance examination. JEE Advanced syllabus for Physics has been designed in such a way that it offers very practical and application-based learning to further make it easier for students to understand every concept or topic by correlating it with day-to-day experiences. In comparison to the other two subjects, the syllabus of JEE Advanced for physics is developed in such a way so as to test the deep understanding and application of concepts.
Q2.A wire is bent in the form of a circular arc with a straight portion AB. Magnetic induction at O when current I flowing in the wire, is
Q3. A consider a hypothetic spherical body. The body is cut into two parts about the diameter. One of hemispherical portion has mass distribution m whicle the other portion has identical charge distributionq. The body is rotated about the axis with constant speedω. Then, the ratio of magnetic moment to angular momentum is
Solution
Q4. A charged particle moves in a uniform magnetic field perpendicular to it, with a radius of curvature 4 cm. On passing through a metallic sheet it loses half of its kinetic energy. Then, the radius of curvature of the particle is
Solution
Q5. A Q5.A charged particle is released from rest in a region of steady and uniform electric and magnetic fields which are parallel to each other. The particle will move in a
Q6. Two concentric coils, each of radius equal to 2Ï€ cm, are placed at right angles to each other, Currents of 3A and 4A, respectively, are flowing through the two coils. The magnetic induction, in Wbm^(-2), at the centre of the coils will be
Q7.Same current i is flowing in three infinitely long wires along positive x-,y- and z-directions. The magnetic field at a point (0,0,-a) would be
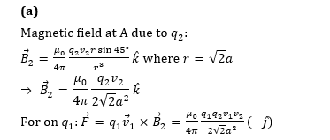
Q8.Two positive charge q_1 and q_2 are moving with velocities v_1 and v_2 when they are at points A andB, respectively, as shown in figure. The magnitude force experienced by charge q_1 due to the other charge q_2 is
Q9.An otherwise infinite, straight wire has two concentric loops os radii a and b carrying equal currents in opposite directions as shown in figure. The magnetic field at the common centre is zero for
Q10. The magnitude field at O due to current in the infinite wire forming a loop as shown in figure is
Solution


