Important topics for Maths has been designed in such a way that it offers very practical and application-based learning to further make it easier for students to understand every concept or topic by correlating it with the day-to-day experiences.
Q1.
The primitive of the function x |cosx| when π/2< x<π is given by
Solution
f(x)=x|cosx |,Ï€/2< x<Ï€=-x cosx,because cosx is negative in (Ï€/2,Ï€) ∴ the required primitive function = ∫-x cosxdx Now, use integration by parts
f(x)=x|cosx |,Ï€/2< x<Ï€=-x cosx,because cosx is negative in (Ï€/2,Ï€) ∴ the required primitive function = ∫-x cosxdx Now, use integration by parts
Q2.Let g(x)=
where f is such that 1/2≤f(t)≤1, for t∈[0,1] and 0≤f(t)≤1/2, for t∈[1,2]. Then g(2) satisfies the inequality
where f is such that 1/2≤f(t)≤1, for t∈[0,1] and 0≤f(t)≤1/2, for t∈[1,2]. Then g(2) satisfies the inequality
Q3.
is equal to
Let f:R→R be a continuous function and f(x)=f(2x) is true ∀ x∈R. If f(1)=3, then the value of
is equal to
Solution
f(2x)=f(x)=f(x/2)=f(x/2^2 )=⋯=f(x/2^n ) So, when n→∞⇒f(2x)=f(0) (f(x) is continuous) i.e., f(x) is a constant function ⇒f(x)=f(1)= 3,∫_(-1)^1f(f(x) )dx=∫_(-1)^13dx=6
f(2x)=f(x)=f(x/2)=f(x/2^2 )=⋯=f(x/2^n ) So, when n→∞⇒f(2x)=f(0) (f(x) is continuous) i.e., f(x) is a constant function ⇒f(x)=f(1)= 3,∫_(-1)^1f(f(x) )dx=∫_(-1)^13dx=6
Q5.
If ∫dx/(x^2 (x^n+1)^((n-1)/n) )=-[f(x)]^(1/n)+c,then f(x) is
Solution
We have ∫dx/(x^2 (x^n+1)^((n-1)/n) ) =∫dx/(x^2 x^(n-1) (1+1/x^n )^((n-1)/n) ) =∫dx/(x^(n+1) (1+x^(-n) )^((n-1)/n) ) Put 1+x^(-n)=t ∴ nx^(-n-1) dx=dt⇒dx/x^(n+1) =-dt/n ⇒∫dx/(x^2 (x^n+1)^((n-1)/n) )=-1/n ∫dt/t^((n-1)/n) =-1/n ∫t^(1/n-1) dt=-1/n t^(1/n-1+1)/(1/n-1+1)+C =-t^(1/n)+C=-(1+x^(-n))^(1/n)+C
We have ∫dx/(x^2 (x^n+1)^((n-1)/n) ) =∫dx/(x^2 x^(n-1) (1+1/x^n )^((n-1)/n) ) =∫dx/(x^(n+1) (1+x^(-n) )^((n-1)/n) ) Put 1+x^(-n)=t ∴ nx^(-n-1) dx=dt⇒dx/x^(n+1) =-dt/n ⇒∫dx/(x^2 (x^n+1)^((n-1)/n) )=-1/n ∫dt/t^((n-1)/n) =-1/n ∫t^(1/n-1) dt=-1/n t^(1/n-1+1)/(1/n-1+1)+C =-t^(1/n)+C=-(1+x^(-n))^(1/n)+C
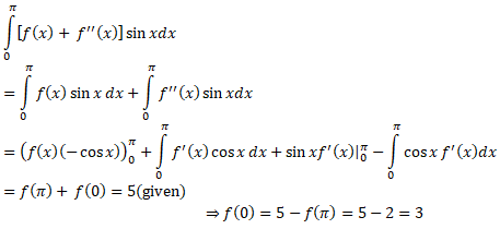
Q7. If f(Ï€)=2 and
(f(x)+ f^'' (x))sinx dx=5, then f(0) is equal to (it is given that f(x) is continuous in [0,Ï€])
(f(x)+ f^'' (x))sinx dx=5, then f(0) is equal to (it is given that f(x) is continuous in [0,Ï€])
Q9.If xf(x)=3f^2 (x)+2,then∫(2x^2-12xf(x)+f(x))/((6f(x)-x) (x^2-f(x))^2 ) dx equals
Solution
f^' (x)=(f(x))/(6f(x)-x) Now I=∫(2x(x-6f(x) )+f(x))/((6f(x)-x)(x^2-f(x))^2 )dx⇒I=-∫(2x-f^' (x))/(x^2-f(x))^2 dx=1/(x^2-f(x))+C
f^' (x)=(f(x))/(6f(x)-x) Now I=∫(2x(x-6f(x) )+f(x))/((6f(x)-x)(x^2-f(x))^2 )dx⇒I=-∫(2x-f^' (x))/(x^2-f(x))^2 dx=1/(x^2-f(x))+C

