Important topics for Maths has been designed in such a way that it offers very practical and application-based learning to further make it easier for students to understand every concept or topic by correlating it with the day-to-day experiences.
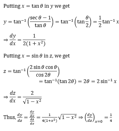
Q2.The derivative of tan^(-1)((√(1+x^2)-1)/x) with respect to tan^(-1)((2x√(1-x^2))/(1-2x^2)) at x=0 is
Q3. If y=|cosx|+|sinx|, then dy/dx at x=2Ï€/3 is
Solution
(c) In neighbourhood of x=2Ï€/3,|cosx |=-cosx and |sinx | =sinx ⇒y=-cosx + sinx ⇒dy/dx=sinx + cosx ⇒ At x=2Ï€/3,dy/dx=sin2Ï€/3 + cos2Ï€/3=(√3-1)/2
(c) In neighbourhood of x=2Ï€/3,|cosx |=-cosx and |sinx | =sinx ⇒y=-cosx + sinx ⇒dy/dx=sinx + cosx ⇒ At x=2Ï€/3,dy/dx=sin2Ï€/3 + cos2Ï€/3=(√3-1)/2
Q4. Let f(x) be a quadratic expression which is positive for all the real values of x. If g(x)=f(x)+f'(x)+f''(x), then for any real x,
Solution
Q5.Suppose f(x)=e^ax+e^bx, where a≠b, and that f"(x)-2f'(x)-15f(x)=0 for all x. Then the product ab is
Solution
(c) (a^2-2a-15) e^ax+(b^2-2b-15) d^bx=0 ⇒(a^2-2a-15)=0 and b^2-2b-15=0 ⇒(a-5)(a+3)=0 and (b-5)(b+3)=0 ⇒a=5 or -3 and b=5 or-3 ∴a≠b hence a=5 and b=-3 Or a=-3 and b=5 ⇒ab=-15
(c) (a^2-2a-15) e^ax+(b^2-2b-15) d^bx=0 ⇒(a^2-2a-15)=0 and b^2-2b-15=0 ⇒(a-5)(a+3)=0 and (b-5)(b+3)=0 ⇒a=5 or -3 and b=5 or-3 ∴a≠b hence a=5 and b=-3 Or a=-3 and b=5 ⇒ab=-15
Q8.Let g(x)=logf(x), where f(x) is a twice differentiable positive function on (0,∞) such that f(x+1)=xf(x).Then,for N=1,2,3,…,g'' (N+1/2)-g''(1/2) is equal to
Solution
(a) y=2 In(1+cosx) dy/dx=(-2 sinx)/(1+cosx ) (d^2 y)/(dx^2)=-2[((1+cosx)cosx-sinx(-sinx))/(1+cosx )^2 ] =-2[cosx+1/(1+cosx )^2 ]=(-2)/((1+cosx ) ) Now 2e^(-y/2)=2∙e^(-(In (1+cosx )^2)/2)=2/(1+cosx) ∴(d^2 y)/(dx^2 )+2/e^(y/2) =0
(a) y=2 In(1+cosx) dy/dx=(-2 sinx)/(1+cosx ) (d^2 y)/(dx^2)=-2[((1+cosx)cosx-sinx(-sinx))/(1+cosx )^2 ] =-2[cosx+1/(1+cosx )^2 ]=(-2)/((1+cosx ) ) Now 2e^(-y/2)=2∙e^(-(In (1+cosx )^2)/2)=2/(1+cosx) ∴(d^2 y)/(dx^2 )+2/e^(y/2) =0
Solution
(a) u(x)=7v(x)⇒u' (x)=7v' (x)⇒p=7 (given) Again (u(x))/(v(x))=7⇒((u(x))/(v(x)))=0⇒q=0 Now (p+q)/(p-q)=(7+0)/(7-0)=1
(a) u(x)=7v(x)⇒u' (x)=7v' (x)⇒p=7 (given) Again (u(x))/(v(x))=7⇒((u(x))/(v(x)))=0⇒q=0 Now (p+q)/(p-q)=(7+0)/(7-0)=1

